# 半导体器件基础
# 半导体电子器件
- 二极管:
- 类型:金属-半导体二极管、半导体PN结二极管。
- 应用:整流、混频。
- 晶体管(三极管):
- 类型:半导体晶体管、金属-氧化物-半导体场效应管(MOSFET)。
- 应用:交流信号放大。
- 集成电路:
- 特点:在同一芯片内集成无数个晶体管、电阻、电容等。
- 应用:广泛应用于计算机、手机等领域,无所不在。
# 半导体光子器件
- 光学吸收:
- 太阳能电池:将光能转化为电能,作为电源给负载供电。主要以硅(Si)材料为主。
- 光电探测器:将光信号转换为电信号。常用材料包括Si、锗(Ge)、砷化铟镓(InGaAs)。
- 产生光信号:
- 发光二极管(LED):将电流转化为光。
- 可见光:用于照明、显示。
- 红外光:用于低速率通信、遥控。
- 激光二极管(LD):将电流转化为激光。
- 特点:产生的光子具有很好的单色性、相干性和方向性。
- 应用:高速光通信、光存储、激光测距等。
- 材料:砷化镓(GaAs)、磷化铟(InP)、氮化镓(GaN)等。探索Si材料发光是重要研究方向。
- 发光二极管(LED):将电流转化为光。
# 载流子浓度与费米能级
# 半导体的能带模型
- 能带结构:最高的满带(价带)的电子容易被激发到上面的空带(导带)。
- 载流子:导带中的电子和价带中的空穴。
- 禁带:导带和价带之间的能量间隙,其宽度 一般小于 2 eV。
# 状态密度
- 自由电子:
- 半导体电子、空穴:
其中 是与导带底或价带顶的能量差, 为有效质量。
# 半导体中载流子的费米统计分布
- 导带底电子的能态密度:
其中 是导带底的能量。
- 价带顶空穴的能态密度:
其中 是价带顶的能量。

# 电子和空穴的浓度
- 电子浓度 ():
其中 为导带电子有效能级密度,定义为:
- 空穴浓度 ():
其中 为价带空穴有效能级密度,定义为:
- 有效能级密度概念:在计算载流子浓度时,可以等效地用导带底能级 和价带顶能级 代替整个能带,载流子数就如同在导带底和价带顶处分别集中了 和 个能态所含有的载流子数。
# 两种载流子浓度的乘积
- 公式:
- 特点:在热平衡时,半导体中两种载流子浓度的乘积是一个仅与禁带宽度 及温度 有关的量,而与费米能级 无关。
# 本征半导体
# 定义与特点
- 定义:不含任何杂质及缺陷的半导体。
- 载流子:电子受热激发,从价带跃迁到导带,在导带产生电子,同时在价带留下空穴。
- 载流子浓度:电子数目等于空穴数目,统称本征载流子。其浓度 完全取决于半导体本身的性质。
# 本征载流子浓度与费米能级
- 本征载流子浓度 ():
- 随温度升高而呈指数增加。
- 与带隙宽度有关,带隙越小,浓度越高。
- 本征费米能级 ():
- 在一般情况下,由于 较小且 与 相差不大,本征半导体的费米能级 近似地位于带隙的中间。
# 杂质与杂质激发
# 非简并半导体
- 杂质能级:半导体中的杂质或缺陷(如空位、间隙原子、位错)会破坏严格的周期性势场,从而在带隙中产生局域化的电子态——杂质能级。
- 非简并条件:杂质浓度远小于半导体原子浓度,施主电子或受主空穴之间不存在相互作用,杂质在半导体中引入分离的杂质能级。
# 施主杂质
- 定义:杂质在能隙中提供带有电子的能级,其束缚能(电离能) 很小。
- 类型:如在Si或Ge中掺入五价元素(P, As, Sb)形成N型半导体。
- 导电机制:电子由施主能级激发到导带远比价带激发容易,N型导电几乎完全依靠施主热激发到导带的电子。
# 受主杂质
- 定义:杂质提供带隙中空的能级,其束缚能(电离能) 很小。
- 类型:如在Si或Ge中掺入三价元素(B, Al, In)形成P型半导体。
- 导电机制:电子由价带激发到受主能级比激发到导带容易,P型导电几乎完全依靠受主热激发到导带的空穴。
# 浅能级与深能级杂质
- 浅能级杂质:能级靠近导带或价带,其对电子或空穴的束缚能很小,载流子将以杂质跃迁产生为主。
- 深能级杂质:能级位于禁带中部,通常为多重能级,如Au在Si中。它们是有效的复合中心,会降低载流子寿命,也可作为补偿杂质提高材料电阻率。
# 载流子浓度与费米能级
- N型半导体:
- 多数载流子(电子)浓度 ():
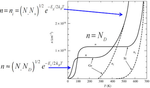
- 低温时:,随温度指数增加。
- 高温时:,施主几乎全部电离激发。
- 费米能级 ():。掺杂浓度越高,费米能级越靠近导带。
- 多数载流子(电子)浓度 ():
- P型半导体:
- 多数载流子(空穴)浓度 ():
- 低温时:。
- 高温时:。
- 费米能级 ():。掺杂浓度越高,费米能级越靠近价带。
- 多数载流子(空穴)浓度 ():
- 少数载流子浓度:在非本征半导体中,少数载流子浓度可由 关系得到。


# 简并半导体
- 定义:当杂质浓度非常高,以至于杂质原子之间相互作用加强,分离的杂质能级分裂并展宽形成能带,费米能级进入导带或价带。
- 费米统计:此时玻尔兹曼分布近似不再适用,必须使用费米-狄拉克分布来计算载流子浓度。
# 补偿半导体
- 定义:在半导体中既掺有施主又掺有受主的半导体。
- 载流子浓度:在完全电离条件下,载流子浓度由施主和受主浓度的差值决定。
- N型补偿半导体:当 ,电子浓度 。
- P型补偿半导体:当 ,空穴浓度 。
- 特性:由于杂质的补偿作用,有效载流子浓度很小,因此补偿半导体的电阻率很高。
# 载流子的迁移
# 迁移率与电导率
- 迁移率 ():定义为单位电场下载流子的平均漂移速度。
- 电导率 ():
其中 和 分别是电子和空穴的迁移率。
- 欧姆定律:电流密度 。
- 迁移率公式:,其中 为平均弛豫时间。
# 迁移率的影响因素
- 温度:
- 低温:主要受杂质散射影响。温度升高,杂质散射作用减弱,迁移率增大,。
- 高温:主要受晶格散射影响。温度升高,晶格振动增强,散射作用增大,迁移率下降,。
- 掺杂浓度:载流子的迁移率由总的掺杂浓度决定。掺杂浓度越高,杂质散射越强,迁移率越低。

# 半导体的电导率特性
- 电导率随温度变化:除了饱和区外,电导率随温度升高呈指数形式迅速增大,表现出很强的热敏性。
- 与金属的比较:
- 金属:载流子浓度几乎不变,电导率主要由迁移率决定,而迁移率随温度升高而减小,故金属电导率随温度升高而下降。
- 半导体:载流子浓度随温度呈指数变化,是决定电导率的主要因素,因此电导率随温度升高而迅速增大。