定义与示例
额外平方和(SSR)衡量了在模型中已经包含某些变量的情况下,再加入新的变量后,这些新变量所能解释的额外变异。
- SSR(X1,X2,X3):在模型中,变量 X1,X2,X3 联合解释的总变异。
- SSR(X1∣X2):在模型中已包含变量 X2 的基础上,加入 X1 后额外解释的变异。
- SSR(X1,X2∣X3,X4):在模型中已包含 X3,X4 的基础上,加入 X1,X2 后额外解释的变异。
计算方式
额外平方和可以通过模型中残差平方和(SSE)或回归平方和(SSR)的差值计算得到。
SSR(X1∣X2)=SSR(X1,X2)−SSR(X2)=SSE(X2)−SSE(X1,X2)
# 三种平方和(Type I, II, III SS)
平方和的分解
总回归平方和可以分解为一系列额外平方和之和,其分解顺序取决于变量进入模型的顺序。
SSR(X1,X2,X3,X4)=SSR(X1)+SSR(X2∣X1)+SSR(X3∣X1,X2)+SSR(X4∣X1,X2,X3)
平方和类型
- Type I SS:也称序贯平方和,根据变量进入模型的顺序依次计算每个变量所贡献的额外平方和,因此结果与变量的加入顺序相关。
- Type II SS:考察每个变量在最后进入模型时所贡献的额外平方和,但前提是模型中已有的变量不能包含被考察变量的交互项。例如,SSR(X1∣X1X2) 这种形式是非法的。
- Type III SS:考察每个变量在最后进入模型时所贡献的额外平方和,与变量的加入顺序无关。在存在交互作用时,这种类型可能违反了边际性原则。
| Term |
Type I SS |
Type II SS |
Type III SS |
| A |
SSR(A)=SSE(1)−SSE(A) |
SSR(A∣B)=SSE(B)−SSE(A,B) |
SSR(A∣B,AB)=SSE(B,AB)−SSE(A,B,AB) |
| B |
SSR(B∣A)=SSE(A)−SSE(A,B) |
SSR(B∣A)=SSE(A)−SSE(A,B) |
SSR(B∣A,AB)=SSE(A,AB)−SSE(A,B,AB) |
| AB |
SSR(AB∣A,B)=SSE(A,B)−SSE(A,B,AB) |
/ |
SSR(AB∣A,B)=SSE(A,B)−SSE(A,B,AB) |
在 R 语言中,ANOVA 函数通常使用 Type I SS,而 Summary 函数则默认使用 Type III SS。
# 广义线性检验(General Linear Test)
基本思想
广义线性检验通过比较两个嵌套模型(一个为全模型 full model,另一个为简化模型 reduction model)来判断它们的差异是否显著。
- 原假设 H0:两个模型没有显著差异。
- 备择假设 H1:两个模型有显著差异。
- 如果拒绝 H0,则表明全模型比简化模型有更强的解释力。
检验统计量
检验统计量 F∗ 服从 F 分布。
F∗=SSE(F)/dfE(F)(SSE(R)−SSE(F))/(dfE(R)−dfE(F))=SSE(F)/dfE(F)SSR(F∣R)/(dfE(R)−dfE(F))∼FdfE(R)−dfE(F),dfE(F)
- dfE(R)−dfE(F):全模型相比简化模型增加的解释变量数目。
- dfE(F)=n−p:n 为样本量,p 为全模型中解释变量的个数加一。
- 当增加的解释变量数目为 1 时,F1,n−p 等于 tn−p2。
对解释变量线性组合的检验
对于更一般的,对解释变量线性组合的检验,例如 H0:Cβ=t,检验统计量为:
F=qs2(Cβ^−t)T(C(XTX)−1CT)−1(Cβ^−t)∼Fq,n−p
其中 q 是矩阵 C 独立的行数。
# 偏决定系数(Partial Coefficient of Determination)
多重决定系数 R2 的解读
多重决定系数 R2=SSTSSR 衡量了所有解释变量所能解释的因变量总变异的比例。
偏决定系数 partial R2
偏决定系数衡量了在模型中已包含某些解释变量的情况下,新加入的解释变量所能额外解释的,剩余变异(即已有变量不能解释的变异)的比例。
RY;k∣1,...,k−1,k+1,...,q2=SSE(X1,...,Xk−1,Xk+1,...,Xq)SSR(Xk∣X1,...,Xk−1,Xk+1,...,Xq)=SSE(X−k)SSR(Xk∣X−k)
偏决定系数有时也被称为 partial η2。
与决定系数的关系
R2(Y∣X−k,Xk∣X−k)=SST(Y∣X−k)SSR(Xk∣X−k)=SSE(X−k)SSR(Xk∣X−k)=RY;k∣−k2
计算方式
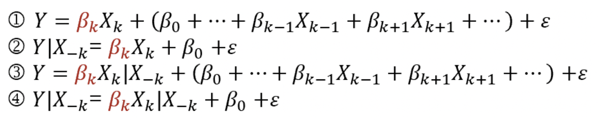
计算 RY;k∣−k2 的步骤如下:
- 首先,用已有的变量 X1,...,Xk−1,Xk+1,...,Xq 分别对因变量 Y 和新变量 Xk 进行回归,得到各自的残差,记为 Y∣X−k 和 Xk∣X−k。
- 然后,用 Xk∣X−k 对 Y∣X−k 进行回归,得到的决定系数就是偏决定系数。
# 偏相关系数与标准化回归
偏相关系数 r12⋅3
偏相关系数是偏决定系数开根号后加上符号,用于衡量在排除其他变量影响后,两个变量之间线性关系的强度。
- 幅度:η2
- 符号:与对应标准化回归系数的符号一致,sgn(βk)。
- 如果 0<r12⋅3<r12,说明变量 3 部分解释了变量 1 和 2 之间的线性关系。
标准化回归
通过对所有变量进行标准化(减去均值并除以标准差),可以将回归模型转换为标准化形式,从而使不同变量的回归系数具有可比性。
Yi∗=βi∗Xi1∗+β2∗Xi2∗+...+β(p−1)∗Xi(p−1)∗+εi∗
其中 βk∗=sYβksXk。
标准化对检验的影响
- R2,η2 等保持不变。
- ANOVA 检验结果会改变。
- 如果只对解释变量 X 进行标准化,而不对因变量 Y 标准化,则 ANOVA 检验结果不变,因为 SST(总平方和)没有变化。
偏相关系数与相关系数的关系
RY⋅2∣12=(rY⋅2∣1)2=(1−rY12)(1−r122)(rY2−rY1r12)2
当解释变量彼此不相关时,分别用 Y∼X2 和 Y∼X1+X2 进行回归,回归系数 b2 保持不变,但 RY⋅2∣12>RY⋅22。

# 抑制变量(Suppressor Variable)
如果一个变量 X1 能够抑制其他自变量的无关变异,导致 SSR(X2∣X1)>SSR(X2),那么这个变量 X1 就被称为抑制变量。